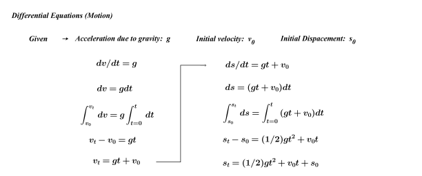
I, like most others, always attempt to use students’ existing knowledge base on which to build and connect new concepts (or new perspectives on old concepts); simple motion problems are one such example. The concept in this entry is integration and it provides a new and very rich perspective on an “old” concept already familiar to students.
The following excerpt is taken from reflections of my 1st two weeks in calculus.
Question: What can we do when “dv=(a)dt” shows up in this way?
Answer: We can integrate.
Question: What does integration give us?
Answer: The area between the function and the x-axis.
Question: What does our function represent?
Answer: Acceleration.
Question: What does the area in question represent?
Answer: Velocity.
Question: Have you ever seen this before and, if so, where?
Answer: Yes, in Physics class.

As an extra activity, students could sketch slope fields for dv/dt and ds/dt to become more familiar with those. In addition, students would also benefit from drawing comparisons between integrating functions in 2-dimensions above (focus on area) and its 3-dimensional counterpart.
Thanks for reading.
